SEEFOR 14(2): 197-213
Article ID: 2318
DOI: https://doi.org/10.15177/seefor.23-18
ORIGINAL SCIENTIFIC PAPER
Variation of Physical and Mechanical Properties of Pinus Sylvestris L. Wood in the Boreal Zone of the European Northeast
Roman Viktorovich Shchekalev1, Dmitriy Aleksandrovich Danilov1,2, Dmitriy Andreevich Zaytsev2,*, Sergey Anatolievich Korchagov3, Vladimir Ivanovich Melehov4
(1) Institute of Forests and Natural Resources, Saint-Petersburg State Forest Technical University named after S.M. Kirov, Institutskiy ln. 5, RU-194021 Saint-Petersburg, Russia;
(2) Department of Agrochemistry and Agrolandscapes, Leningrad Research Agriculture Institute Branch of Russian Potato Research Centre, Institutskaya st. 1, RU-188338 Belogorka vlg, Leningrad Region, Russia;
(3) Vologda Regional Laboratory, Federal budget institution Northern Research Institute of Forestry, Nikitov Str., 13, RU-163062 Arkhangelsk, Russia;
(4) Northern (Arctic) Federal University named after M.V. Lomonosov, Severnaya Dvina Emb. 17, RU-163002 Arkhangelsk, Russia
Citation: Shchekalev RV, Danilov DA, Zaytsev DA, Korchagov SA, Melehov VI, 2023. Variation of Physical and Mechanical Properties of Pinus Sylvestris L. Wood in the Boreal Zone of the European Northeast. South-east Eur for 14(2): 197-213. https://doi.org/10.15177/seefor.23-18.
Received: 7 Mar 2023; Revised: 3 Jul 2023, 27 Sep 2023; Accepted: 3 Nov 2023; Published online: 15 Dec 2023
Cited by: Google Scholar
Abstract
The study considers variational aspects of physical and mechanical properties of Scots pine (Pinus sylvestris L.) wood depending on conditions and growth areas in the boreal zone of the European Northeast. Anatomical traits of xylem and its strength properties were analyzed. Based on the data received, statistical processing of the material was carried out using correlation and multivariate analysis. The impact of hazardous air emissions on variation of linear dimensions in structural elements of the annual height increment in the trunk diameter was estimated. A varying nature of the influence of environmental factors on the formation of strength properties of P. sylvestris wood in growth areas was attested. The variation value of basic wood density decreases as soil and hydrological conditions of growth improve. A significant negative correlation between basic wood density and distance to sources of hazardous air emissions in the areas of concentration of industrial enterprises was established. The results of multivariate analysis make it possible to reveal the weight of the influence of environmental factors and biometric characteristics of wood on volumetric and strength properties of pine wood. Growth in the impact zone of air emissions from large industrial enterprises in the study area does not produce a significant effect on the dynamics of wood strength properties, taking into account various growth conditions. For Scots pine growing in the European Northeast, the study determined a significant impact of the size and structure of the annual height increment of the trunk in terms of diameter, as well as the position of the wood sample in terms of trunk volume, on strength properties of pine wood.
Keywords: pine wood density; xylem macro and microstructure; mechanical properties; boreal forests; air pollution; growth conditions; ANOVA multivariate analysis
INTRODUCTION
The question of the influence of forest growth conditions on wood quality of Pinus sylvestris L. in the forestry practice has a long research history (Zobel and van Buijtenen 1988, Saranpää 2003, Ikonen et al. 2008, Pretzsch 2020). So far, a large amount of scholarly literature has been accumulated on the issues of tree increment dynamics and wood structure in connection with changes in growth conditions (Poluboyarinov 1976, Wilhelmson et al. 2002, Schweingruber 2003, Shchekalev and Tarhanov 2006).
The variation of individual quantitative and qualitative parameters of Pinus sylvestris L. wood for different geographical areas was explored at different times to one degree or another (Kellomäki et al. 1999, Shchekalev and Tarhanov 2007, Baltunis et al. 2007, Danilov et al. 2020, Beniušienė et al. 2020). The analysis of the accumulated experience makes it possible to determine the extent and nature in the variation of individual indicators of wood depending on environmental factors and anthropogenic impact, including forestry practice.
Growth conditions stimulate a response reaction in ligneous plants. In particular, this is manifested in the formation of a certain type of wood structure. A number of studies have established that changes in the linear dimensions in structural elements of wood and the correlation of tissues are a necessary prerequisite for a tree to adapt to changing environmental conditions (Pazdrowski and Spława-Neyman 1996, Korchagov and Gribov 2009, Eremin and Chavchavadze 2015, Zaytsev et al. 2020, Wieruszewski and Mydlarz 2021). It is obvious that the choice of a growth strategy by a particular tree and changes in its wood structure can be conditioned by the deficit of organic matter and, as a consequence, by the need to place a certain number of water-conducting elements on a smaller area (Arseneva and Chavchavadze 2001, Romanovsky and Shchekalev 2014). Fluctuations in volumetric and strength properties of wood occur depending on forest growth conditions due to the multidirectional action of various factors (Kramer 1964, Poluboyarinov and Fedorov 1982, Babich et al. 2008, Kozlov et al. 2009, Kalbarczyk et al. 2018, Chubinsky et al. 2020).
Within the same growing stock, physical and mechanical properties of the wood of individual trees may be different. Usually, diversity of these properties is at a very low level of variation. Trees of the same age group, similar in development and growing under identical conditions, most often form wood with similar properties (Schimleck et al. 2018). Data on the high variation of physical and mechanical properties of the wood of individual trees, which can be found in scholarly literature, were obtained probably due to significant differences in the methodological basis and research objects, as well as a substantial difference in growth conditions of growing stocks (Baltunis 2007, Wessels et al. 2011, Tomczak et al. 2013).
Taking into account the data published, it becomes possible to speak about the existence of pairs of indicator sets of the anatomical coniferous wood structure correlating with its density (Perelygin 1954, Poluboyarinov 1976, Carlquist 1988, Antonova and Stasova 1993, Auty et al. 2014). Low density wood is partially characterized by thin cell walls, low percentage of latewood content and short fibers, while high density wood has thick cell walls, high percentage of latewood content and long fibers.
Diverse results of the available studies make it possible to argue for a great influence of heredity on the organization of a tree trunk, which sometimes acts independently of environmental factors and the position of a tree in the forest stand (Hannrup et al. 2000, Kisternaya and Aksenenkova 2007, Hong et al. 2014). Factors that have the greatest impact on wood density can include: anatomical structure and structure of the annual ring, age at which wood is formed, and the process of stem core formation (Poluboyarinov 1976, Kramer and Kozlowski 1979, Schweingruber 1993). The position in the stem volume, both vertically and horizontally, also has a significant effect on wood density (Shchekalev and Tarkhanov 2006, Babich et al. 2008).
The question of studying heterogeneity of a tree trunk in terms of wood density is of practical interest. From the perspective of biology, such research helps to better understand the process of wood formation at different age stages of tree growth (Perelygin 1953, Kosichenko 2000, Gao et al. 2017). In combination with the study of increment, density indicators allow the assessment of the intensity of the cambium function in various trunk zones (Antonova 1999, Jordan et al. 2005). Sharp changes in density inside the trunk, as well as along and across the trunk, are an undesirable factor for most commercial varieties of goods. Homogeneity of wood density inside the trunk, on the contrary, is its advantage (Poluboyarinov 1976, Ugolev 2001).
In scholarly literature there is a large volume of publications that allow us to judge the influence of site conditions on the variation of volumetric and technical parameters of pine wood (Melekhov 1949, Vikhrov 1954, Ugolev 2001, Danilov et al. 2018, Schimleck et al. 2018, Wieruszewski and Mydlarz 2021). Under conditions of long-term technogenic impact, Scots pine shows an increase in the share of latewood in the structure of annual growth in terms of diameter (Arseneva and Chavchavadze 2001, Shchekalev and Tarkhanov 2006, Yarmishko 2012). Primarily, these changes occur due to a decrease in the zone width of earlywood. However, a number of authors point to a decrease in the zone width of latewood and radial growth when approaching emission sources. Simultaneity of regression of individual zones and the annual ring as a whole are also noted, and this leads to an increase in the overall wood density (Zobel and van Buijtenen 1988, Tarkhanov 2010). The impact of technogenic load is more pronounced in low-productive forest stands.
The accumulated body of knowledge about the impact of constantly changing environmental conditions in forest stands and in particular on individual trees shows that there are a small number of comprehensive studies on properties of wood formation. As a rule, ongoing research is limited to the analysis of volumetric and technical properties of wood and identification of correlations and patterns with the value of the annual growth (Melekhov 1949, Poluboyarinov 1976, Danilov and Zaytsev 2021, Wieruszewski and Mydlarz 2021). The geography of such studies rarely reaches the regional level (Wilhelmsson et al. 2002, Yarmishko 2012, Kalbarczyk et al. 2018). On the other hand, studies by biologists reveal processes of growth and development of tracheids in most detail, and, as a rule, they do not pay attention to technical properties of wood formation (Yatsenko-Khmelevsky 1954, Barnet 1981).
Taking into account the above analysis of the issues in the variation of the structural elements of the radial growth and physical and mechanical properties of coniferous wood as well as, in particular, Scots pine, the goal of the study was defined as follows: to study patterns of structure and dynamics of strength properties of Scots pine wood for the boreal zone in the Northeast of Europe.
MATERIALS AND METHODS
Study Area
The field work area is located in the north of the Russian Plain, which in turn is located in the north of the Russian and Pechersk Plates that are part of the East European Platform on the territory of Russia. The collection of field material was carried out in the period from 1998 to 2014. The study area covers the territory of the Arkhangelsk region, the Komi Republic and the Nenets Autonomous District within the boundaries from 60° to 68°N and from 38° to 53°E. A significant stretch from north to south and from west to east determines the division of the territory into zones of forest-tundra, northern, middle and southern taiga. This, in turn, determines substantial differences in soil and climate conditions (Figure 1).
Most of the territory has a flat relief with heights up to 200-250 m above sea level and with a general surface slope from south to north. Owing to the significant expanse from north to south, the study area is located in three climate zones: arctic, subarctic and temperate. The above is reflected in different influxes of solar radiation, the value of which, in turn, is the main climate factor influencing wood formation. The annual value of total solar radiation ranges from 1,500 in the south to 700 kW·m-2 in the north (Scientific and applied reference guide Climate of Russia 2022).
The study area has a wide spread of Vaccinium ssp., Polytrichum ssp. and Sphagnum spp. groups of forest types, which are characterized by mixed coniferous and coniferous-deciduous forest stands with a dominance of spruce. The study objects are represented by mature and maturing pine phytocenoses located in landscapes with a flat or slightly undulating relief. Pine forests occupy a smaller area than spruce forests (Arkhangelsk region ~27%; Komi Republic ~25% of the total area) and are represented by Pinus sylvestris- Hylocomium, Pinus sylvestris-Sphagnum spp. and Pinus sylvestris- Cladonia ssp. forest types. The average stock of mature and overmature stands amounts to 115-130 m3·ha–1 in the Komi Republic and 130-140 m3·ha–1 in the Arkhangelsk region.
Forest stands in the regions of industrial facilities concentration of the timber industry, thermal power and military complexes, in consideration of the specifics of air pollution from the latter, experience a constant negative impact (Bobkova et al. 1997, Shchekalev and Tarhanov 2004, Martynyuk 2010, Robakidze et al. 2013, Figas et al. 2021). The presence of industrial facilities in the study area, obviously, contributes to the deformation of chemical composition of soil solutions and atmospheric air, which in turn, definitely, affects the growth and development of woody plants. Therefore, when considering such issues as variation of wood structure and properties within certain geographical areas, we took into account the anthropogenic factor of industrial emissions.
The main sources of air pollutant emissions in the study area, which partially covers the territories of the Arkhangelsk region of the Nenets Autonomous District and the Komi Republic, are construction industry facilities, fuel and energy complexes, nuclear shipbuilding industry facilities, infrastructure of the cosmodrome and timber complex concentrated in the vicinity of large cities and administrative centers (the cities of Arkhangelsk, Kotlas, Syktyvkar, Ukhta, Inta, Naryan-Mar, etc.).
When selecting research objects, the principle of repre-sentativeness was observed, which ensures conducting comparative assessments in similar forest growth conditions. For the purposes of zoning the technogenic impact from sources of emissions of industrial enterprises, sample plots were located along the transects of all the main wind points (Yarmishko 1997).
The initial selection of plots was made according to forest inventory documents and forest plantation plan. The location of the sample plots was determined in the most typical growth conditions for the study area. For representativeness of the results, the trial plots are located in mature stands. When determining a forest type, we followed the classification proposed by V.N. Sukachev (Sukachev et al. 1957). The number of taxation points by regions and growth conditions are given in Table 1.
Table 1. Distribution of taxation points.
Research Methods
Taking into account the goals and objectives of the study, a research methodology was designed to study the anatomical structure and physical and mechanical properties of pine wood, features of tree growth and their dependence on external factors under conditions of the European Northeast.
For a holistic comprehension of how the level of aero-technogenic pollution impacts the state of coniferous plantings, the factual material on the pollution of snow and vegetation covers with the official data from the hydrometeorological service of the region was collected and analyzed (Scientific and applied reference guide Climate of Russia 2022). As a result, the scale of dispersion of emission products was determined, as well as their fallout with atmospheric precipitation due to activities of industrial enterprises (Tarkhanov 2010). To assess the pollution level, we used maps of dispersion fields for emissions of air pollutants, obtained on the basis of the software products by the “Unified Program for Calculating Air Pollution – Ecologist” and “Maximum Permissible Emissions – Ecologist”, and in accordance with the “A.I. Voeikov Main Geophysical Observatory”, St. Petersburg, Russia.
Based on the materials of field observations, data on forestry and taxation parameters of forest stands were obtained. This made it possible to substantiate the choice of model trees and selected wood samples for subsequent measurements of growth and physical and mechanical properties of wood. For each trial plot, 5-7 models were selected by preliminary measurement of the height and diameter of the trunk (from among commercial trees), close to the average. The models were used to select tilts and wood saw cuts at the height of 1.3 m from the root collar and relative heights of the trunk: 0H, 1/4H, 2/4H, 3/4H.
In laboratory conditions, each tree core was used to measure the width and macrostructure of annual rings, using an MBS-1 stereoscopic microscope. After measuring the width of annual rings for studying linear dimensions of tracheids, 2-4 segments of wood were carved from the cores taken from the model trees. Preparation of wood samples for anatomical study was carried out in accordance with generally acknowledged methods (Carlquist 1988). To work with specimens, a Jenaval Carl Zeiss vertical microscope was used. The photographic survey was made with a Sony DSC-W1 camera through the eyepiece of the microscope. The measurement of linear dimensions of tracheids and the number of resin ducts per cm2 in the images obtained was carried out with the help of the PhotoM 1.21 program developed at the I.M. Sechenov Institute of Evolutionary Physiology and Biochemistry RAS, St. Petersburg, Russia (Image processing software for cytophotometry PhotoM 1.21). The program is suitable for cytophotometry because it helps calculate the optical density of photographs by processing images in bmp and jpg formats.
The density of the wood samples was determined using the method of maximum humidity of wood samples, which is well suited for samples with a relatively small volume (Smith 1954, Ugolev 1965, Poluboyarinov 1976). The applied method assumes that between the maximum humidity (Wmax), which a wood sample can have, and density, there is dependence. The formula for calculating wood basic density (ρbasic) in g·cm–3 with a known mass of the sample saturated with humidity (mW) and in an absolutely dry (m0) state is written as (Equation 1):
(1)
where d is the density of woody substance, and the average value is 1.53 g·cm–3. The basic density of wood is independent of moisture content and it is more convenient to use it in wood quality studies (Poluboyarinov 1976).
To determine wood resistance to compression along the fibers, we used wood samples in the form of a rectangular prism, 20x20x30 mm, oriented along the fibers, selected from the trunks of the model trees differentiated in terms of height and diameter. Up to the height of 1/4H, 4 samples were carved along the radius: 3 in the area of the wood core, center, middle, and periphery, and 1 in sapwood. As the sampling height increased, the number of samples decreased (Melekhov et al. 2003). The tests were carried out on a universal testing machine SHIMADZU of the AGS-100kNX series. The obtained values of maximum load were given in kgf·m–2 and converted into MPa with the coefficient of 10.19716.
The processing of experimental data is based on the methods of correlation, regression, multivariate (Graeco-Latin square design), variance and dispersion analyses (Jayaraman 1999). All measurement results were obtained using software products: Excel version before 2013, Statgraphics, SPSS, MATLAB, and analytical programs developed by us to simplify and accelerate calculations in the C++ language using a specialized package for statistical analysis and forecasting ALGLIB (Gilmore et al. 2009, RCoreTeam 2013). Together with the results of correlation analysis, which describe the dependence of the radial growth on external and internal factors in geographical terms, the data obtained were processed using variance analysis that allows us to estimate the variation value at various levels in the study area (Jayaraman 1999). Student’s (t) and Fisher’s (F) criteria were used to compare indicators (James et al. 2013).
The conclusions and patterns obtained are valid at the 5% significance value (Jayaraman 1999). Statistical analysis of mass observations allowed the objective estimation of the findings and drawing valid conclusions with a certain degree of credibility.
RESULTS AND DISCUSSION
Influence of Growth Conditions on Macrostructure and Density of Pine Wood
On the basis of laboratory studies, an array of data was obtained, which allow us to analyze the dynamics of basic density of Scots pine wood in geographical terms, inside the forest stand on a trial plot and inside a separate tree.
The data obtained (Table 2) make it possible to assume that as growth conditions improve, volumetric properties of P. sylvestris L. wood decrease in numerical terms. The significance of difference in average values of wood density is noted only when comparing pine wood samples growing under the conditions of Pinus sylvestris-Vaccinium spp.-Sphagnum spp. forest type (Table 3), in forest stands growing on more drained soils.
Table 3. Significance of difference in basic density of pine wood by forest types.
Variation in wood basic density within individual study areas is within the framework of a low level (Jayaraman 1999). For shrub-sphagnum forest stands, the variation coefficient (CV) is 12.3% in the region of Arkhangelsk, 11.7% in the region of Syktyvkar, 9.7% in the region of Kotlas and 7.2% in the region of Naryan-Mar. In more productive myrtillus fresh pine forests, variation of wood basic density is lower and amounts to: Arkhangelsk – 8.3%; Syktyvkar – 8.9% and Kotlas – 9.2%.
Correlation analysis of mature forest stands growing in the area of the Arkhangelsk agglomeration revealed an average connection level of basic wood density with the annual ring width and proportion of latewood therein (Figure 2). The presence of a negative sign (r =-0.549±0.072; tfact=7.62>t0.01=2.62) when comparing basic wood density and the annual ring width is logical, since the increase in the ring width is mainly due to an increase in the zone of earlywood. Therefore, our calculations showed that a higher latewood content corresponds to higher wood density values (r=0.592±0.067; tfact=8.87>t0.01=2.62), which is comparable with the results of other similar studies in the boreal zone (Melekhov et al. 2003, Kishchenko 2019).
However, two oppositely directed processes take place. On the one hand, the relationship between wood density and latewood content in the annual ring increases from north to south (Figure 3). On the other hand, the dependence of wood basic density on the annual ring width also decreases from north to south, also decreasing when soil and hydrological conditions of growth improve. The multiple correlation coefficient of wood basic density with the width of annual growth and percentage of latewood is 0.589±0.066 for shrub-sphagnum pine forests located in the region of Arkhangelsk, while the results for other regions are as follows: Syktyvkar – 0.561±0.082; Kotlas – 0.517±0.095 and Naryan-Mar – 0.544±0.113. For myrtillus fresh pine forests, the following multiple correlation values were obtained for the study areas: 0.541±0.082 for Arkhangelsk; 0.522±0.092 for Syktyvkar and 0.507±0.094 for Kotlas. When comparing identical growth conditions from different regions, and when comparing different conditions within a particular region, no differences in correlations were revealed (tfact<ttable). It should be noted that the developed samples of basic wood density, differentiated by growth conditions and study areas, differ significantly according to the results of dispersion analysis conducted with the use of the Kolmogorov-Smirnov criterion (λfact>λ0.05).
Influence of Pollutants on Density and Annual Growth of Pine Wood
An additional criterion of growth conditions in the study is the degree of technogenic load. The findings show that the degree of aerotechnogenic load corrects the dependence of basic density on the value and structure of the annual ring. In particular, when approaching the source of emissions, the relationship between wood density and the annual ring width weakens (Figure 4). This situation may be associated with a reduction in variation of tree growth strategies with deterioration of growth conditions.
The location of the trial plots differentiated by distance from industrial enterprises makes it possible to evaluate the degree of influence of air pollution on the absolute values of basic wood density. The constructed dynamics sets of basic wood density (average over the radius, at the trunk height of 1.3 m) show that it has a tendency to rise as the technogenic load increases on the territory of the regions under consideration (Figure 5).
It is worth noting that an increase in values of basic wood density, calculated as the average over the radius, in the course of distance reduction to the emission source is observed at all trunk heights considered from 0H to 3/4H (Figure 6).
Having summarizing the data on the dynamics of basic wood density along and across the axis of the trunk in different forest types and at different distances from the source of technogenic emissions, we designed maps of conditional distribution of basic wood density inside the trunk separately for the trial plots and for the study area as a whole. One of the variants (averaged representation) is shown in Figure 7.
Considering the cartograms obtained, a matrix of parameters affecting basic density of pine wood was developed for conducting multivariate analysis (Table 4): (A) spatial arrangement of the wood sample inside the trunk along and across the axis; (B) integral indicator of the annual ring width and content of latewood therein; (C) distance to the source of emissions; (D) crown diameter; (E) average annual precipitation rate and temperature mode of the vegetation season (over the period included in linear dimensions of the samples). From the above group of factors, the influence of the size and structure of annual growth and the position of the wood samples by trunk volume were highlighted in terms of their significance. It is also worth noting that there is a trend towards an increase in the significance of unidentified factors (Z). Note that the data on the dependence and direction of structural changes in the annual growth of wood, which objectively affect the indicators of wood density, and which indirectly confirm our conclusions, have been mentioned by other authors (Fox et al. 1986, Stolte et al. 1992).
Table 4. Evaluation of the influence power of factors on basic density of pine wood.
Variation of Compressive Strength along Pine Wood Fibres
Mechanical properties of wood are determined by the stress values it can withstand while being under load before destruction. The most indicative parameter characterizing mechanical properties of wood is its compressive strength along the fibers.
The calculation of compression limits along the fibers of pine wood was carried out. The limit of this indicator (Pmax) was the moment when the load curve passed through the extremum point. The angle of deviation of the load curve became negative. Visually, at this moment and during the further course of compression, microcracks appear and become larger on the surface of the sample, and some sections of the sample begin to “slide” relative to each other. Further, the load curve levels off and for the most part becomes perpendicular to its axis. At this moment, deep cracks are formed on the surface of the sample, flaking it along the fibers. The performed statistical analysis of the dependence of the change moment in the slide angle of the load curve at a given point relative to growth conditions of the standing wood did not allow us to identify valid values of the gravitation momentum of the onset of irreversible deformations to the listed factors (Table 5).
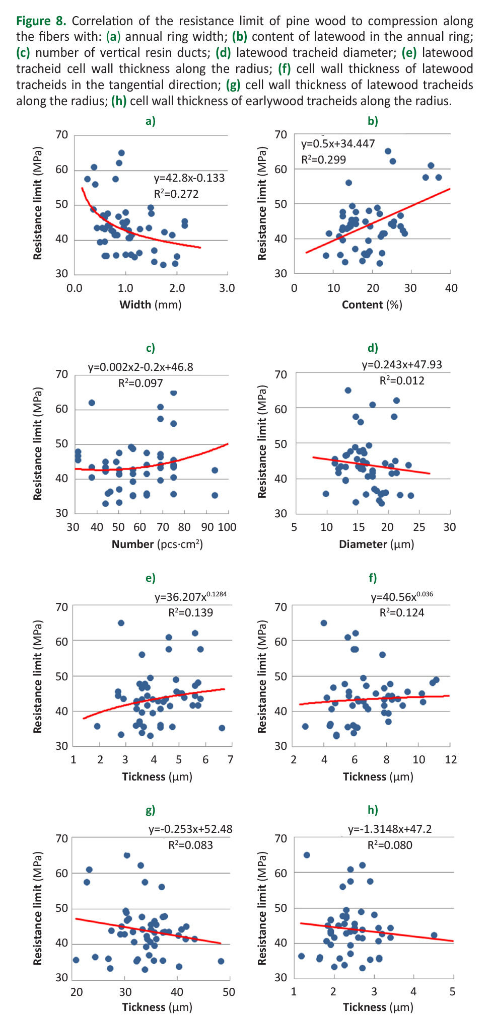
When conducting correlation analysis, dependences of pine wood resistance to compression along the fibers (hereinafter referred to as resistance) on structural elements of the annual ring were revealed (Figure 8).
In particular, we noted the presence of a significant negative relationship between the average force of the resistance limit of wood compression along the fibers with the annual ring width (r±mr is -0.522±0.133, tfact>t0.05), as well as a positive relationship between the average force and a specific content of latewood in the annual ring, expressed as a percentage (r±mr is 0.547±0.128, tfact>t0.05).
An insignificant positive relationship (r±mr is 0.311±0.136, tfact>t0.05) of physical and mechanical properties of wood with an increase in the number of vertical resin ducts per unit area on a radial cut was revealed. The dependence established seems to be logical, taking into account that the main number of resin ducts is located in the latewood zone and directly depends on the length of the latewood zone and entire annual growth as a whole.
Among linear dimensions of tracheids of earlywood and latewood, the thickness of cell walls of tracheids in the late zone of the annual ring along and across the trunk radius produces a more significant effect on the ultimate strength of wood along the fibers (r±mr respectively 0.373±0.133 and 0.352±0.142 with tfact>t0.05).
Differentiation of data by study areas (Table 6) shows a slight fluctuation of the compression strength limit indicator along the fibers in forest stands growing in different forest types and study areas. The validity of the comparative average values of physical properties exceeds the tabular values only when comparing the results of laboratory analyses of the samples taken in shrub-sphagnum pine forests and lichen pine forests (tfact=2.097 with t0.10=1.697; t0.05=2.142; t0.01=2.75).
The variation level (C, %) of strength properties within the European Northeast is at a low level and increases slightly from east to west and from south to north. For pine forest stands of the sphagnum group, the variation index in the southern part of the study area (Kotlas) is 11.9%, whereas in the northern part (Naryan-Mar) it equals 12.5%; in the east (Syktyvkar) it is 12.2%, and in the western part (Arkhangelsk) it amounts to 12.6%. Improvement of soil and hydrological conditions of growth within individual locations leads to a decrease in the variation level of the limit values of pine wood resistance to compression along the fibers. In particular, for plantations growing in the area of Arkhangelsk, variation in strength properties of Scots pine wood is as follows: shrub-sphagnum – 12.6%; myrtillus wet – 12.5%; myrtillus fresh – 11.5%; sorrel – 11.2%. Similar dynamics were also noted for pine stands growing in the areas of Syktyvkar and Kotlas.
It can be argued that mechanical properties of wood are a species-specific indicator, and all fluctuations in their value occur within a single range, with a significant deviation beyond its boundaries being fatal for an individual tree. For pine wood, the average resistance value of 46 MPa is given (Ugolev 2001).
To assess goodness of fit between the distribution sets of wood resistance values in the study areas, Pearson’s chi-squared test (χ2), was used, the value of which during the pairwise comparison of wood resistance distribution in the study areas did not exceed the critical values of c2table with p0.05 (c20.05 =9.49; c20.01 =13.28).
The revealed feedback strength of the limit of wood resistance to compression along the fibers and radial growth increases from west to east within the study area (Figure 9), r±mr for the Arkhangelsk region is -0.495±0.118 (tfact>t0.05); for Kotlas it is -0.606±0.125 (tfact>t0.05); for Syktyvkar it is -0.661±0.143 (tfact >t0.05) and decreases to the more northern regions of Naryan-Mar – -0.473±0.141 (tfact >t0.05).
Pollutants and Physical and Mechanical Properties of Pine Wood
The conducted dispersion analysis showed that we can accept the null hypothesis that the samples formed in accordance with the value of pine wood resistance to compression along the fibers in the study areas can be perceived as part of the general population (Table 7). An exception can be considered a significant difference in dispersion of wood resistance values in sphagnum pine forests of the southern taiga and polar regions.
The nature of the relationship between physical and mechanical properties of pine wood and the value of radial growth is influenced not only by the geographical aspect and soil and hydrological conditions of growth, expressed through the forest type. The configuration of the dependence under consideration is transformed when the technogenic impact factor is introduced into the analysis perimeter, expressed, as we indicated earlier, through the distance gradient from sources of the aerotechnogenic impact. In the “closer than 5 km” and “from 5 to 10 km” zones, the strength of the described relationship tends to increase (Figure 10). We also noted a similar trend when decomposing the dependence of wood resistance on content of latewood in the annual ring, depending on the distance from sources of aerotechnogenic pollution. This fact is quite logical, given that an increase in technogenic load, i.e. a decrease in the distance to the source of emissions leads to a reduction in the annual radial increment value and an increase in the late part of wood relative to the total increment value.
We should note a slight overrun in the binding strength of the limit of wood resistance to compression along the fibers and content of latewood in the annual ring in the region of Arkhangelsk of 0.745±0.149 (tfact=4.99) relative to the other regions. We have observed the minimum value for pine samples in the region of Naryan-Mar of 0.426±0.153 (tfact=2.88). For the region of Kotlas, the correlation value was 0.676±0.142 (tfact=4.76), and for Syktyvkar it was 0.574±0.138 (tfact=4.16).
The obtained values of the relationship between the pine wood resistance and the value of the annual increment and content of latewood therein are consistent along the direction of the relationship, but differ in numerical terms from the data obtained by other authors for neighboring regions (Poluboyarinov 1976, Ugolev 2001). Taking into account our results concerning the value and significance of the relationships under consideration for plantations growing in the area of Naryan-Mar, it can be assumed that the significance degree of macrostructural indicators of the annual ring decreases by the value of wood resistance to compression along the fibers in the polar regions of the pine area.
The array of data on physical and mechanical properties of Scots pine wood available in scientific literature, differentiated or segmented in terms of geography, growth conditions and origin of pine plantations, makes it possible to argue that an increase in basic wood density entails an increase in the limit values of wood resistance to compression (Melekhov 1949, Perelygin 1953, Poluboyarinov 1976, Shchekalev and Tarkhanov 2006). This has also been confirmed in our study with the significance of the relationship under consideration according to the results of univariate dispersion analysis amounting to 4.43, with tabular t0.10=3.49; t0.05=5.85; and t0.01=9.95. However, this relationship cannot always be described by a straight line and extended to the entire spectrum of values. As a rule, the data published fall within the value range of 35-55 MPa. Yet, partly due to data fragmentation, partly due to a too high level of generalization, it is not possible to form an unambiguous judgment about the nature of the variation factor of wood resistance to compression along the fibers within the distribution area, in particular, in the north of the European part.
During the study, it was found that a change in volumetric properties of pine wood leads to a disproportionate change in wood resistance to compression along the fibers (Figure 11a). A possible division of the sample into three groups, separated by the curve’s extrema, can be considered. The resulting decomposition of test data (Figure 11a), along the basic wood density axis, can be divided into three ranges: less than 400; from 400 to 500 and over 500 kg·m–3. Graphically, the result can be represented as follows (Figure 11b). On Figure 11a correlation trend is superimposed on the data, corresponding to the 5th degree polynomial, reaching the maximum value of determination (R2=0.728). Figure 11b is decomposed into three regions with the highest value frequency in the central part, which corresponds to a normal distribution.
The selected ranges (Figure 11b) are statistically different (Ffact>F0.05=2.09) and also show different strengths of the relationship between basic density and wood compression resistance and its decrease from the left to the right: 0.567±0.119 (tfact=4.88); 0.476±0.117 (tfact=4.06) and 0.389±0.113 (tfact=3.44).
The comparison of average values of wood resistance to compression along the fibers and the value of its dispersion, within a single variant for basic wood density (Table 8), indicates that a change in basic density of pine wood by 60 kg·m–3 entails a significant change in wood strength properties. Neighboring variants are comparable and, as a rule, do not differ statistically by dispersion and by the average value of wood technical properties.
The analysis of multiple correlation of pine wood strength properties in separate study areas from a group of factors (radial increment value, content of latewood in the annual ring, basic wood density) does not reveal a trend in the relationship dynamics in terms of geography. The increase in the strength of relationship with this factor occurs fragmentarily from plantations growing in the regions of Naryan-Mar, then Kotlas, Syktyvkar, and the maximum value was obtained for plantations in the region of Arkhangelsk (respectively: 0.491±0.098; 0.549±0.088; 0.574±0.092; 0.623±0.086).
The assessment of the dependence of pine wood strength properties (as an average value for the trunk) on the height of the tree as a whole for the study area shows a weak level of negative correlation -0.219±0.104. The upper limits of the range correspond to plantations of middle taiga, whereas the lower ones correspond to the polar regions.
Elaboration of correlation sets (Figure 12) of wood strength properties and the position of the test specimen inside the trunk (differentiated by the sampling height and location along the radius) shows that at the base of the trunk (0Н) and at the height of 1.3 m, pine wood resistance to compression along the fibers decreases from the center of the trunk to the bark. With the further advance up the trunk from the height of 1/2H to 3/4H (in fact, in the crown zone), strength properties increase in the same direction.
Figure 12. Dynamics of wood resistance to compression (MPa) along the trunk axis.
Growth in the impact zone of emissions from large industrial enterprises in the region leaves an insignificant imprint on the dynamics structure of wood strength properties, depending on growth conditions.
The maximum level of correlation between strength properties and the degree of remoteness from emission sources was found for pine forests growing in the region of Arkhangelsk urban agglomeration (-0.382±0.112; tfact=3.40, at t0.05=4.0), whereas the minimum level for pine forests was in the area of the Kotlas forestry industry complex (-0.319±0.124; tfact=2.56, at t0.05=4.0). The value of F-criterion when comparing pine forests growing in the region of Arkhangelsk and more southern regions amounts to 1.90 and 1.89 (F0.05=1.35). The low level of correlation with the presence of fragmentary deviations in the value of wood strength properties confirms our assumption about the mosaic nature of the distribution of pine wood technical properties across the study area.
To conduct multivariate analysis for three basic study areas, a matrix of parameters affecting strength properties of pine wood was formed (Table 9): (A) crown projection diameter; (B) trunk diameter at the height of 1.3 m; (C) integral indicator of the annual ring width and content of latewood; (D) basic wood density; (E) distance to emission sources; (F) place of specimen collection inside the tree trunk. A valid result was obtained concerning a high degree of the influence exerted on strength properties of pine wood by the parameters of structural elements of the annual increment and basic wood density. We should note a slight decrease in the impact of the technogenic factor on the properties of pine wood from the northern taiga zone to the middle one. In the same direction, a tendency was observed towards an increase in the significance of unidentified factors (Z).
CONCLUSIONS
Based on the results of the study, the following conclusions can be drawn:
Basic density of Scots pine wood in mature forest stands in the European Northeast ranges from 430 to 510 kg·m–3. The upper limit of the range corresponds to forest stands of the sphagnum group of forest types growing in conditions of the northern taiga in the northwestern part of the study area (Arkhangelsk region). The minimum values of basic wood density were obtained for lichen pine forests of the middle taiga in the southeastern part of the study area (Kotlas area). Fluctuations in basic density of pine wood within individual locations in the European Northeast are sketchy.
The variation value of basic wood density decreases as soil and hydrological conditions of growth improve. At the same time, for pine forests of the sphagnum group from northwest to southeast, the variation value decreases from 12.3% in the region of Arkhangelsk to 11.7% in Syktyvkar and 9.7% in Kotlas, with the exception of 7.2% in the region of Naryan-Mar, whereas in pleurocarpous moss pine forests it increases from 8.3% in the area of Arkhangelsk to 8.9% and 9.2% in the regions of Syktyvkar and Kotlas, respectively.
A significant negative correlation was found between the value of basic wood density and the distance to sources of emissions of harmful substances into the atmosphere in the areas where industrial enterprises are concentrated. For shrub-sphagnum pine forests growing in the region of the Arkhangelsk urban agglomeration, r is -0.745±0.092.
On the territory of the European Northeast, a slight fluctuation in strength properties of Scots pine wood was determined. The range of average values of the ultimate resistance of pine wood to compression along the fibers, regardless of growth type conditions, amounts to 44.9-49.5 MPa. This indicates that mechanical properties of Scots pine wood are a species-specific indicator with a low level of variation within the boundaries of individual locations.
Growth in the impact zone of atmospheric emissions from large industrial enterprises in the study area does not significantly affect the dynamics of wood strength properties, depending on growth conditions. The revealed negative correlation of strength properties and the degree of remoteness from sources of aerotechnogenic emissions is -0.382±0.112 for pine forest stands growing in the region of Arkhangelsk and -0.319±0.124 for the region of Kotlas, which is not significant.
The study established a significant effect of the size and structure of trunk annual growth in diameter and the position of the wood sample in terms of trunk volume on volumetric and strength properties of wood for Scots pine.
Author Contributions
RVS, DAD and SAK conceived and designed the research, RVS and SAK carried out the field measurements, RVS performed laboratory analysis, DAD and DAZ processed the data and performed the statistical analysis, RVS and SAK supervised the research and helped to draft the manuscript, VIM helped to draft the manuscript, DAD and DAZ wrote the manuscript.
Funding
This research received no external funding.
Conflicts of Interest
The authors declare no conflict of interest.
REFERENCES
Antonova GF, 1999. Conifer cell growth. Siberian Publishing Company Nauka of the Russian Academy of Sciences, Novosibirsk, Russia, 232 p. [In Russian].
Antonova GF, Stasova VV, 1993. Effects of environmental factors on wood formation in Scots pine stems. Trees 7: 214-219. https://doi.org/10.1007/BF00202076.
Arseneva TV, Chavchavadze ES, 2001. Ecological and anatomical aspects of pine wood variability from industrial areas of the European North. Nauka Publisher, St. Petersburg, Russia, 109 p. [In Russian].
Auty D, Achim A, Macdonald E, Macdonald AD, Gardiner BA, 2014. Models for predicting wood density variation in Scots pine. Forestry: An International Journal of Forest Research 87: 449-458. http://dx.doi.org/10.1093/forestry/cpu005.
Babich NA, Melekhov VI, Antonov AM, Konovalov DY, Korchagov SA, Chalyh DE, 2008. Influence of anatomical element variability on pine wood density and strength in cultures. In: Demakov YP (ed) Modern problems of forestry. Mari State University Press, Yoshkar-Ola, Russia, pp 188-192. [In Russian].
Baltunis BS, Wu HX, Powell MB, 2007. Inheritance of density, microfibril angle, and modulus of elasticity in juvenile wood of Pinus radiata at two locations in Australia. Can J Forest Res 37: 2164-2174. http://dx.doi.org/10.1139/X07-061.
Barnet JR, 1981. Xylem cell development. Castle House Publications LTD, Tunbridge, UK, 307 p.
Beniušienė L, Šilinskas B, Beniušis R, Aleinikovas M, Petrauskas E, Varnagirytė-Kabašinskienė I, 2020. Scots pine stem parameters in sites with different stand densities in Lithuania. Forests 11(7): 716. https://doi.org/10.3390/f11070716.
Bobkova KS, Patov AI, Tereshchuk NA, 1997. State of forests in the zone of influence of Syktyvkar timber industry complex. Russian Forestry Journal 5: 84-88. [In Russian].
Carlquist S, 1988. Comparative wood anatomy. Springer-Verlag, Berlin, Germany, 436 p.
Chubinskij AN, Chubinskij MA, Varankina GS, Rusakov DS, Artemenkov AM, Stepanishchev SA, Garus IA, 2020. Study of physical and mechanical properties of Siberian larch wood. Systems. Methods. Technologies. 4: 168-174. [In Russian].
Danilov DA, Griazkin AV, Sokolova VA, Bacherikov IV, 2020. The component composition of planted pine wood cultivated in the boreal zone. Nord Pulp Pap Res J 35: 685-693. https://doi.org/10.1515/npprj-2020-0058
Danilov DA, Zaytsev DA, 2021. Influence of climatic factors on the formation of Scots pine (Pinus sylvestris L.) and Norway spruce (Picea abies Karst.) radial growth elements in the boreal zone of Russia. Forestry Ideas 27: 29-45.
Danilov DA, Zaytsev DA, Belyaeva NV, 2018. Density of wood of pine-tree and spruce in the mixed mature forests of the North-West Russia boreal zone. In: Proceedings of the Research for Rural Development Conference, University of Life Sciences and Technologies, Jelgava, Latvia, pp 125-130. http://dx.doi.org/10.22616/rrd.24.2018.019.
Eremin VM, Chavchavadze ES, 2015. Anatomy of vegetative organs of the pine family (Pinaceae Lindl.). Polygraphics, Brest, Republic of Belarus, 691 p. [In Russian].
Figas A, Siwik-Ziomek A, Kobierski M, 2021. Heavy Metals and Sulphur in Needles of Pinus sylvestris L. and Soil in the Forests of City Agglomeration. Forests 12: 1310. https://doi.org/10.3390/f12101310.
Fox CA, Kincaid WB, Nash TH, Young DL, Fritts HC, 1986. Tree-ring variation in western larch (Larix occidentalis) exposed to sulfur dioxide emissions. Can J Forest Res 16: 283– 292. https://doi.org/10.1139/x86-049.
Gao S, Wang X, Wiemann MC, Brashaw BK, Ross RJ, Wang L, 2017. A critical analysis of methods for rapid and non-destructive determination of wood density in standing trees. Ann For Sci 74: 1-15. http://dx.doi.org/10.1007/s13595-017-0623-4.
Gilmour AR, Gogel BJ, Cullis BR, Thompson R, 2009. ASReml User Guide. Release 3.0, VSN International Ltd, Hemel Hempstead, UK. Available online: https://www.vsni.co.uk/ (1 February 2023).
Hannrup B, Ekberg I, Persson A, 2000. Genetic correlations among wood, growth capacity and stem traits in Pinus sylvestris. Scand J Forest Res 15: 161-170. http://dx.doi.org/10.1080/028275800750014966.
Hong Z, Fries A, Wu H, 2014. High negative genetic correlations between growth traits and wood properties suggest incorporating multiple traits selection including economic weights for the future Scots pine breeding programs. Ann For Sci 71: 463-472. https://doi.org/10.1007/s13595-014-0359-3.
Ikonen V-P, Peltola H, Wilhelmsson L, Kilpeläinen A, Väisänen H, Nuutinen T, Kellomäki S, 2008. Modelling the distribution of wood properties along the stems of Scots pine (Pinus sylvestris L.) and Norway spruce (Picea abies (L.) Karst.) as affected by silvicultural management. Forest Ecol Manag 256: 1356-1371. http://dx.doi.org/10.1016/j.foreco.2008.06.039.
Image processing software for cytophotometry PhotoM 1.21. Available online: http://t_lambda.chat.ru (1 February 2023).
James G, Witten D, Hastie T, Tibshirani R, 2013. An introduction to statistical learning: with applications in R. Springer Science+Business Media, New York, USA, 436 p.
Jayaraman K, 1999. A statistical manual for forestry research. Food and Agriculture Organization of the United Nations, Bangkok, Thailand, 234 p.
Jordan L, Daniels RF, He R, 2005. Multilevel nonlinear mixed-effects models for the modeling of earlywood and latewood microfibril angle. Forest Sci 51: 357-371.
Kalbarczyk R, Ziemiańska M, Nieróbca A, Dobrzańska J, 2018. The impact of climate change and strong anthropopressure on the annual growth of Scots pine (Pinus sylvestris L.) Wood Growing in Eastern Poland. Forests 9: 661. https://doi.org/10.3390/f9110661.
Kellomäki S, PekkaIkonen V, Peltola H, Kolström T, 1999. Modelling the structural growth of Scots pine with implications for wood quality. Ecol Model 122: 117-134. https://doi.org/10.1016/S0304-3800(99)00086-1.
Kishchenko IT, 2019. Formation of Picea abies (L.) Karst. Trunk Wood in Different Taiga Zone Communities. Russian Forestry Journal 1:32–39. https://doi.org/10.17238/issn0536-1036.2019.1.32 [In Russian].
Kisternaya MV, Aksenenkova YA, 2007. Changes in the anatomical structure of pine wood under the influence of a set of silvicultural measures. Russian Forestry Journal 4: 19-24. [In Russian].
Korchagov SA, Gribov SE, 2009. Influence of forest fires on the quality parameters of Pinus sylvestris L. Russian Forestry Journal 4: 24-27. [In Russian].
Kosichenko NE, 2000. Formation of wood structure and density in ontogenesis. In: Ugolev BN (ed) Proceedings of the Structure, Properties and Quality of Wood 2000. Forest Institute of the Karelian Research Center of the Russian Academy of Sciences, Petrozavodsk, Russia, pp. 58-61. [In Russian].
Kozlov VA, Kisternaya MV, Neronova YA, 2009. Effect of silvicultural measures on the density and chemical composition of Scots pine wood. Russian Forestry Journal 6: 7-13. [In Russian].
Kramer PJ, 1964. The role of water in wood formation. In: Zimmermann MH (ed), The formation of wood in forest trees. Academic Press, London, UK, pp. 519-532.
Kramer PJ, Kozlowski TT, 1979. Physiology of wood plants. Acad. Press, New York, USA, 500 p.
Martynyuk ZP, 2010. Measurement of radial growth of pine trees in the fall area of separating parts of rocket carriers Vazhgort (Komi Republic). Russian Forestry Journal 4: 14-22. [In Russian].
Melekhov IS, 1949. The importance of forest types and forest site conditions in the study of wood structure and its physical and mechanical properties. In: Cukachev VN, Pravdin LF (eds) Proceedings of the Forest Institute of the USSR Academy of Sciences, Vol. 4, pp. 11-20. [In Russian].
Melekhov VI, Babich NA, Korchagov SA, 2003. Quality of pine wood in cultures. Astrakhan State Technical University, Astrakhan, Russia, 110 p. [In Russian].
Melekhov VI, Babich NA, Korchagov SA, Shchekalev RV, 2021. Comprehensive assessment of the quality of pine wood in forest cultures of different growing conditions. Russian Journal of Forest Science 2: 208-216. [In Russian].
Pazdrowski W, Spława-Neyman S, 1996. Macrostructure of scots pine wood from unripe forest stand grown in conditions of dry forest. Folia Forestalica Polonica Seria B 27: 58-62.
Perelygin LM, 1954. Wood structure. Academy of Sciences of the USSR, Moscow, USSR, 200 p. [In Russian].
Poluboyarinov OI, 1976. Wood density. Forest industry, Moscow, Russia, 159 p. [In Russian].
Poluboyarinov OI, Fedorov RB, 1982. Variability in the density of pine and spruce in the European part of the USSR. Forestry, Forest Crops, and Soil Science 11: 128-133. [In Russian].
Pretzsch H, 2020. Density and growth of forest stands revisited. Effect of the temporal scale of observation, site quality, and thinning. Forest Ecol Manag 460: 1-14. http://dx.doi.org/10.1016/j.foreco.2020.117879.
RCoreTeam, 2013. R: A Language and Environment for Statistical Computing. R Foundation for Statistical Computing, Vienna, Austria. Available online: http://www.R-project.org (1 February 2023).
Robakidze EA, Torlopova, NV, Bobkova KS, 2013. Chemical composition of liquid precipitation in old-growth spruce forests of middle taiga. Geochemistry 1: 72-83. [In Russian].
Romanovskij MG, Shchekalev RV, 2014. The species system of forest plants. The Association of Scientific Publishers KMK, Moscow, Russia, 213 p. [In Russian].
Saranpää P, 2003. Wood density and growth. In: Barnett JR, Jeronimidis G (eds), Wood quality and its biological basis. Blackwell Publishing Ltd, Oxford, UK, pp. 87-117.
Schimleck L, Antony F, Dahlen J, Moore J, 2018. Wood and fiber quality of plantation-grown conifers: A summary of research with an emphasis on loblolly and radiata pine. Forests 9: 298. https://doi.org/10.3390/f9060298-.
Schweingruber FH, 1993. Trees and wood in dendrochronology. Springer-Verlag, Berlin, Germany, 386 p.
Scientific and applied reference guide Climate of Russia, 2022. Available online: http://aisori-m.meteo.ru/climsprn (1 February 2023). [In Russian].
Shchekalev RV, Tarhanov SN, 2006. Radial growth and timber quality of Scots pine under conditions of atmospheric pollution. Urals Branch of the Russian Academy of Sciences, Yekaterinburg, Russia, 127 p. [In Russian].
Shchekalev RV, Tarhanov SN, 2007. Radial growth of Scots pine in the Northern Dvina basin under aerotechnogenic pollution. Russian Journal of Forest Science 2: 45-50. [In Russian].
Shchekalev RV, Tarhanov SN, 2004. Wood density of pine trees in the North Dvina basin under conditions of airborne technogenic pollution. Forestry Bulletin 4: 49-56. [In Russian].
Smith DM, 1954. Maximum moisture content method for determining specific gravity of small wood samples. USDA Forest Service, Forest Product Laboratory Report No. 2014, 9 p. Available online: https://ir.library.oregonstate.edu/downloads/mk61rm67f (1 September 2023).
Stolte KW, Duriscoe DM, Cook ER, Cline SP, 1992. Methods of assessing responses of trees, stands and ecosystems to air pollution. In: Olson RK, Binkley D, Böhm M (eds) The response of western forests to air pollution,.Ecological Studies 97, Springer, New York, pp. 259-330. https://doi.org/10.1007/978-1-4612-2960-5_8
Sukachev VN, Zonn SV, Motovilov GP, 1957. Methodological guidelines for the study of forest types. Academy of Sciences of the USSR, Moscow, USSR, 116 p. [In Russian].
Tarhanov SN, 2010. Forms of intrapopulation variability of conifers under conditions of atmospheric pollution. Urals Branch of the Russian Academy of Sciences, Yekaterinburg, Russia, 230 p. [In Russian].
Tomczak A, Jelonek T, Jakubowski M, 2013. Density of Scots pine (Pinus sylvestris L.) wood as an indicator of tree resistance to strong winds. Sylwan 157: 539-545.
Ugolev BN, 1965. Testing of wood and wood-based materials. Forest industry, Moscow, Russia, 250 p. [In Russian].
Ugolev BN, 2001. Wood science and forestry merchandising. Moscow State Forest University, Moscow, Russia, 304 p. [In Russian].
Vihrov VE, 1954. Studies of the structure and technical properties of wood in relation to forest types. In: Issues in forestry and silviculture. Forest industry, Moscow, USSR, pp. 317-325. [In Russian].
Wessels CB, Malan FS, Rypstra T, 2011. A review of measurement methods used on standing trees for the prediction of some mechanical properties of timber. Eur J For Res 130: 881-893. http://dx.doi.org/10.1007/s10342-011-0484-6.
Wieruszewski M, Mydlarz K, 2021. The influence of habitat conditions on the properties of pinewood. Forests 12: 1311. https://doi.org/10.3390/f12101311.
Wilhelmsson L, Arlinger J, Arlinger K, Lundqvist SO, Lundqvist T, Lundqvist O, Olsson L, 2002. Models for predicting wood properties in stems of Picea abies and Pinus sylvestris in Sweden. Scand J Forest Res 17: 330-350. http://dx.doi.org/10.1080/02827580260138080.
Yacenko-Hmelevskij AA, 1954. Fundamentals and methods of anatomical study of wood. Academy of Sciences of the USSR, Moscow, USSR, 338 p. [In Russian].
Yarmishko VT, 2012. Growth pattern of Pinus sylvestris L. at the northern limit of distribution under conditions of atmospheric pollution. Izvestia of Samara Scientific Center of the Russian Academy of Sciences 14: 1576-1580. [In Russian].
Yarmishko VT, 1997. Scots pine and atmospheric pollution in the European North. Research Institute of Chemistry, St. Petersburg, Russia, 210 p. [In Russian].
Zaytsev DA, Chudakov AV, Danilov DA, Belyaeva NV, 2020. The effect of meteorological factors on the formation of the anatomical structure of Pinetum sylvestris myrtilloso-tufosum on a drained peatland. IOP C SEarth Env507: 1-9. http://dx.doi.org/10.1088/1755-1315/507/1/012033.
Zobel BJ, van Buijtenen JP, 1989. Wood variation: Its causes and control. 1st ed. Springer, New York, USA, 363 p.
© 2023 by the Croatian Forest Research Institute. This is an Open Access paper distributed under the terms of the Creative Commons Attribution License (http://creativecommons.org/licenses/by/4.0).
